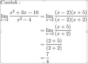
Contoh Soal Limit Fungsi Aljabar Bentuk Tak Tentu. Pada dasarnya limit digunakan untuk menyatakan sesuatu yang yang nilainya mendekati nilai tertentu, seperti tak hingga yang pada dasarnya adalah angka yang sangat besar yang nilainya tidak dapat dipastikan. Apabila hasil substitusi langsung diperoleh nilai bentuk tak tentu, maka kita harus memfaktorkannya sehingga bentuknya menjadi bukan bentuk tak tentu, kemudian kita lanjutkan.
Penguasaan materi-materi tersebut akan membantu sobat idschool dalam menyelesaikan soal limit fungsi, baik untuk limit fungsi aljabar atau limit fungsi trigonometri.
Limit fungsi aljabar untuk peubah menuju tak terhingga beserta penyelesaian secara sistematis dan dengan rumus cepat.
Setelah disubstitusikan dan ternyata nilai limit tidak terdefinisi / merupakan bentuk tak tentu. Maka, nilailimit fungsi aljabar tersebut adalah. Pada dasarnya limit digunakan untuk menyatakan sesuatu yang yang nilainya mendekati nilai tertentu, seperti tak hingga yang pada dasarnya adalah angka yang sangat besar yang nilainya tidak dapat dipastikan.







